vecElementElementElement functions can be customized with set and show rules.
Element
Element functions can be customized with
set and show rules.A column vector.
Content in the vector's elements can be aligned with the
align parameter, or the & symbol.
Example
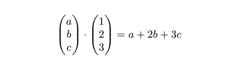
$ vec(a, b, c) dot vec(1, 2, 3)
= a + 2b + 3c $

ParameterParameterParameters are input values for functions. Specify them in parentheses after the function name.
Parameter
Parameters are input values for functions. Specify them in parentheses after the function name.
math.vec(,,gap:,)->The delimiter to use.
Can be a single character specifying the left delimiter, in which case the right delimiter is inferred. Otherwise, can be an array containing a left and a right delimiter.
Show example
#set math.vec(delim: "[")
$ vec(1, 2) $

Default value: ("(", ")")
alignSettableSettableSettable parameters can be set using the set rule, changing the default value used thereafter.
alignSettable
Settable
Settable parameters can be set using the
set rule, changing the default value used thereafter.The horizontal alignment that each element should have.
Show example
#set math.vec(align: right)
$ vec(-1, 1, -1) $

Default value: center
gapSettableSettableSettable parameters can be set using the set rule, changing the default value used thereafter.
gapSettable
Settable
Settable parameters can be set using the
set rule, changing the default value used thereafter.The gap between elements.
Show example
#set math.vec(gap: 1em)
$ vec(1, 2) $

Default value: 0% + 0.2em
childrenRequiredRequiredRequired parameters must be specified when calling the function.PositionalPositionalPositional parameters can be set by specifying them in order, omitting the parameter name.VariadicVariadicVariadic parameters can be specified multiple times.
childrenRequired
Required
Required parameters must be specified when calling the function.
Positional
Positional
Positional parameters can be set by specifying them in order, omitting the parameter name.
Variadic
Variadic
Variadic parameters can be specified multiple times.
The elements of the vector.