未翻訳
このページはまだ翻訳されていません。原文の内容が表示されています。
Sizes
数式中の式に大きさに関するスタイルを強制します。
これらの関数を用いると、数式要素の大きさを、ブロック/インライン数式中や、根号、下付き文字、上付き文字の中で使われているかのようなものに手動で設定できます。
Function
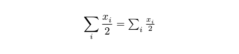
display
display数式中でディスプレイスタイルを強制します。
これはブロック数式における標準サイズです。
$sum_i x_i/2 = display(sum_i x_i/2)$

math.display(,)->inline
inline数式中でインライン(テキスト)スタイルを強制します。
これはインライン数式における標準サイズです。
$ sum_i x_i/2
= inline(sum_i x_i/2) $

math.inline(,)->script
script数式中でスクリプトスタイルを強制します。
これは、冪乗、下付き文字、上付き文字で使用される小さいサイズです。
$sum_i x_i/2 = script(sum_i x_i/2)$

math.script(,)->sscript
sscript数式中で第2スクリプトスタイルを強制します。
これは、第2レベルの下付き文字や上付き文字(添え字の添え字)で使用される最も小さいサイズです。
$sum_i x_i/2 = sscript(sum_i x_i/2)$

math.sscript(,)->